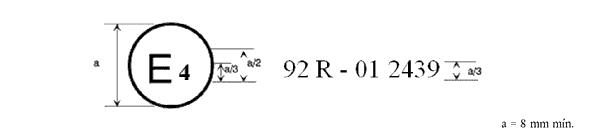
Reglamento n.º 92 de la Comisión Económica para Europa de las Naciones Unidas (CEPE), sobre disposiciones uniformes relativas a la homologación de sistemas silenciadores de escape no originales de recambio (NORESS) para vehículos de las categorías L1, L2, L3, L4 y L5 por lo que respecta a las emisiones sonoras [2018/1707]

Ficha:
  • ÓrganoCOMISION ECONOMICA PARA EUROPA DE LAS NACIONES UNIDAS
  • Publicado en DOUEL núm. 290 de 16 de Noviembre de 2018
  • Vigencia desde 16 de Noviembre de 2018
Versiones/revisiones:
(1)

Con arreglo a la definición que figura en la Resolución consolidada sobre la construcción de vehículos (R.E.3), documento ECE/TRANS/WP.29/78/Rev.4, apartado 2 (www.unece.org/trans/main/wp29/wp29wgs/wp29gen/wp29resolutions.html)

Ver Texto
(2)

Estos componentes son, en particular, el colector de escape, el silenciador propiamente dicho, la cámara de expansión y el resonador.

Ver Texto
(3)

Si la potencia neta máxima nominal se alcanza en varios regímenes del motor, el régimen nominal del motor utilizado en el presente Reglamento es el mayor régimen nominal del motor al que se alcanza la potencia neta máxima nominal.

Ver Texto
(4)

Los números de identificación de las Partes Contratantes en el Acuerdo de 1958 figuran en el anexo 3 de la Resolución consolidada sobre la construcción de vehículos (R.E.3), documento ECE/TRANS/WP.29/78/Rev. 4-www.unece.org/trans/main/wp29/wp29wgs/wp29gen/wp29resolutions.html

Ver Texto