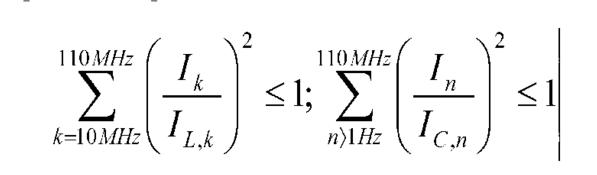
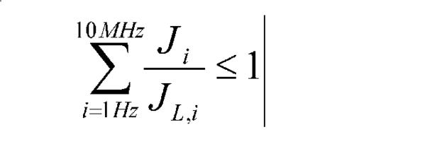
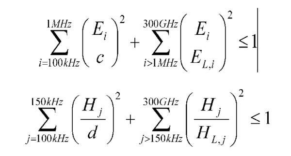
Real Decreto 1066/2001, de 28 de septiembre, por el que se aprueba el Reglamento que establece condiciones de protección del dominio público radioeléctrico, restricciones a las emisiones radioeléctricas y medidas de protección sanitaria frente a emisiones radioeléctricas

Ficha:
  • ÓrganoMinisterio de la Presidencia
  • Publicado en BOE núm. 234 de 29 de Septiembre de 2001
  • Vigencia desde 30 de Septiembre de 2001. Revisión vigente desde 28 de Marzo de 2017
Versiones/revisiones: