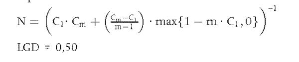
Base de Datos de Legislación Reglamento (UE) nº 575/2013 del Parlamento Europeo y del Consejo, de 26 de junio de 2013, sobre los requisitos prudenciales de las entidades de crédito, y por el que se modifica el Reglamento (UE) n.º 648/2012FichaVersiones/revisionesFicha:ÓrganoParlamento y Consejo de la Unión EuropeaPublicado en DOUEL núm. 176 de 27 de Junio de 2013Vigencia desde 28 de Junio de 2013. Revisión vigente desde 01 de Enero de 2026 hasta 25 de Junio de 2026Versiones/revisiones: