Directiva (UE) 2018/2001 del Parlamento Europeo y del Consejo, de 11 de diciembre de 2018, relativa al fomento del uso de energía procedente de fuentes renovables

Ficha:
  • ÓrganoParlamento y Consejo de la Unión Europea
  • Publicado en DOUEL núm. 328 de 21 de Diciembre de 2018
  • Vigencia desde 24 de Diciembre de 2018. Revisión vigente desde 16 de Julio de 2024
Versiones/revisiones:
(1)

DO C 246 de 28.7.2017, p. 55.

Ver Texto
(2)

DO C 342 de 12.10.2017, p. 79.

Ver Texto
(3)

Posición del Parlamento Europeo de 13 de noviembre de 2018 (pendiente de publicación en el Diario Oficial) y Decisión del Consejo de 4 de diciembre de 2018.

Ver Texto
(4)

Directiva 2009/28/CE del Parlamento Europeo y del Consejo, de 23 de abril de 2009, relativa al fomento del uso de energía procedente de fuentes renovables y por la que se modifican y se derogan las Directivas 2001/77/CE y 2003/30/CE (DO L 140 de 5.6.2009, p. 16).

Ver Texto
(5)

Véase el anexo XI, parte A.

Ver Texto
(6)

Reglamento (UE) 2018/1999 del Parlamento Europeo y del Consejo, de 11 de diciembre de 2018, sobre la gobernanza de la Unión de la Energía y de la Acción por el Clima, y por el que se modifican los Reglamentos (CE) n.º 663/2009 y (CE) n.º 715/2009 del Parlamento Europeo y del Consejo, las Directivas 94/22/CE, 98/70/CE, 2009/31/CE, 2009/73/CE, 2010/31/UE, 2012/27/UE y 2013/30/UE del Parlamento Europeo y del Consejo y las Directivas 2009/119/CE y (UE) 2015/652 del Consejo, y se deroga el Reglamento (UE) n.º 525/2013 del Parlamento Europeo y del Consejo (véase la página 1 del presente Diario Oficial).

Ver Texto
(7)

Reglamento (CE) n.º 1099/2008 del Parlamento Europeo y del Consejo, de 22 de octubre de 2008, relativo a las estadísticas sobre energía (DO L 304 de 14.11.2008, p. 1).

Ver Texto
(8)

Directiva 2001/77/CE del Parlamento Europeo y del Consejo, de 27 de septiembre de 2001, relativa a la promoción de la electricidad generada a partir de fuentes de energía renovables en el mercado interior de la electricidad (DO L 283 de 27.10.2001, p. 33).

Ver Texto
(9)

Directiva 2003/30/CE del Parlamento Europeo y del Consejo, de 8 de mayo de 2003, relativa al fomento del uso de biocarburantes u otros combustibles renovables en el transporte (DO L 123 de 17.5.2003, p. 42).

Ver Texto
(10)

Directiva 2008/98/CE del Parlamento Europeo y del Consejo, de 19 de noviembre de 2008, sobre los residuos y por la que se derogan determinadas Directivas (DO L 312 de 22.11.2008, p. 3).

Ver Texto
(11)

DO L 198 de 20.7.2006, p. 18.

Ver Texto
(12)

Directiva 2012/27/UE del Parlamento Europeo y del Consejo, de 25 de octubre de 2012, relativa a la eficiencia energética, por la que se modifican las Directivas 2009/125/CE y 2010/30/UE, y por la que se derogan las Directivas 2004/8/CE y 2006/32/CE (DO L 315 de 14.11.2012, p. 1).

Ver Texto
(13)

Directiva 2005/36/CE del Parlamento Europeo y del Consejo, de 7 de septiembre de 2005, relativa al reconocimiento de cualificaciones profesionales (DO L 255 de 30.9.2005, p. 22).

Ver Texto
(14)

Directiva 2010/31/UE del Parlamento Europeo y del Consejo, de 19 de mayo de 2010, relativa a la eficiencia energética de los edificios (DO L 153 de 18.6.2010, p. 13).

Ver Texto
(15)

Directiva (UE) 2015/1513 del Parlamento Europeo y del Consejo, de 9 de septiembre de 2015, por la que se modifican la Directiva 98/70/CE, relativa a la calidad de la gasolina y el gasóleo, y la Directiva 2009/28/CE, relativa al fomento del uso de energía procedente de fuentes renovables (DO L 239 de 15.9.2015, p. 1).

Ver Texto
(16)

Reglamento (UE) n.º 525/2013 del Parlamento Europeo y del Consejo, de 21 de mayo de 2013, relativo a un mecanismo para el seguimiento y la notificación de las emisiones de gases de efecto invernadero y para la notificación, a nivel nacional o de la Unión, de otra información relevante para el cambio climático, y por el que se deroga la Decisión n.º 280/2004/CE (DO L 165 de 18.6.2013, p. 13).

Ver Texto
(17)

Directiva 2003/4/CE del Parlamento Europeo y del Consejo, de 28 de enero de 2003, relativa al acceso del público a la información medioambiental y por la que se deroga la Directiva 90/313/CEE del Consejo (DO L 41 de 14.2.2003, p. 26).

Ver Texto
(18)

DO L 123 de 12.5.2016, p. 1.

Ver Texto
(19)

Reglamento (UE) n.º 182/2011 del Parlamento Europeo y del Consejo, de 16 de febrero de 2011, por el que se establecen las normas y los principios generales relativos a las modalidades de control por parte de los Estados miembros del ejercicio de las competencias de ejecución por la Comisión (DO L 55 de 28.2.2011, p. 13).

Ver Texto
(20)

DO C 369 de 17.12.2011, p. 14.

Ver Texto
(21)

Directiva 2013/18/UE del Consejo, de 13 de mayo de 2013, por la que se adapta la Directiva 2009/28/CE del Parlamento Europeo y del Consejo, relativa al fomento del uso de energía procedente de fuentes renovables, con motivo de la adhesión de la República de Croacia (DO L 158 de 10.6.2013, p. 230).

Ver Texto
(22)

Directiva 2009/72/CE del Parlamento Europeo y del Consejo, de 13 de julio de 2009, sobre normas comunes para el mercado interior de la electricidad y por la que se deroga la Directiva 2003/54/CE (DO L 211 de 14.8.2009, p. 55).

Ver Texto
(23)

Reglamento (UE, Euratom) 2018/1046 del Parlamento Europeo y del Consejo, de 18 de julio de 2018, sobre las normas financieras aplicables al presupuesto general de la Unión, por el que se modifican los Reglamentos (UE) n.º 1296/2013, (UE) n.º 1301/2013, (UE) n.º 1303/2013, (UE) n.º 1304/2013, (UE) n.º 1309/2013, (UE) n.º 1316/2013, (UE) n.º 223/2014 y (UE) n.º 283/2014 y la Decisión n.º 541/2014/UE y por el que se deroga el Reglamento (UE, Euratom) n.º 966/2012 (DO L 193 de 30.7.2018, p. 1).

Ver Texto
(24)

Recomendación 2003/361/CE de la Comisión, de 6 de mayo de 2003, sobre la definición de microempresas, pequeñas y medianas empresas (DO L 124 de 20.5.2003, p. 36).

Ver Texto
(25)

Directiva 2009/73/CE del Parlamento Europeo y del Consejo, de 13 de julio de 2009, sobre normas comunes para el mercado interior del gas natural y por la que se deroga la Directiva 2003/55/CE (DO L 211 de 14.8.2009, p. 94).

Ver Texto
(26)

Reglamento (UE) 2019/943 del Parlamento Europeo y del Consejo, de 5 de junio de 2019, relativo al mercado interior de la electricidad (DO L 158 de 14.6.2019, p. 54).

Ver Texto
(27)

Directiva (UE) 2019/944 del Parlamento Europeo y del Consejo, de 5 de junio de 2019, sobre normas comunes para el mercado interior de la electricidad y por la que se modifica la Directiva 2012/27/UE (DO L 158 de 14.6.2019, p. 125).

Ver Texto
(28)

Reglamento (UE) 2023/1804 del Parlamento Europeo y del Consejo, de 13 de septiembre de 2023, relativo a la implantación de una infraestructura para los combustibles alternativos y por el que se deroga la Directiva 2014/94/UE (DO L 234 de 22.9.2023, p. 1).

Ver Texto
(29)

Reglamento (UE) 2023/1542 del Parlamento Europeo y del Consejo, de 12 de julio de 2023, relativo a las pilas y baterías y sus residuos y por el que se modifican la Directiva 2008/98/CE y el Reglamento (UE) 2019/1020 y se deroga la Directiva 2006/66/CE (DO L 191 de 28.7.2023, p. 1).

Ver Texto
(30)

Reglamento (CE) n.º 1893/2006 del Parlamento Europeo y del Consejo, de 20 de diciembre de 2006, por el que se establece la nomenclatura estadística de actividades económicas NACE Revisión 2 y por el que se modifica el Reglamento (CEE) n.º 3037/90 del Consejo y determinados Reglamentos de la CE sobre aspectos estadísticos específicos (DO L 393 de 30.12.2006, p. 1).

Ver Texto
(31)

Reglamento (UE) 2023/1115 del Parlamento Europeo y del Consejo, de 31 de mayo de 2023, relativo a la comercialización en el mercado de la Unión y a la exportación desde la Unión de determinadas materias primas y productos asociados a la deforestación y la degradación forestal, y por el que se deroga el Reglamento (UE) n.º 995/2010 (DO L 150 de 9.6.2023, p. 206).

Ver Texto
(46)

Decisión de Ejecución (UE) 2017/1442 de la Comisión, de 31 de julio de 2017, por la que se establecen las conclusiones sobre las mejores técnicas disponibles (MTD) conforme a la Directiva 2010/75/UE del Parlamento Europeo y del Consejo para las grandes instalaciones de combustión (DO L 212 de 17.8.2017, p. 1).

Ver Texto
(47)

Reglamento (CE) n.º 1059/2003 del Parlamento Europeo y del Consejo, de 26 de mayo de 2003, por el que se establece una nomenclatura común de unidades territoriales estadísticas (NUTS) (DO L 154 de 21.6.2003, p. 1).

Ver Texto
(49)

Directiva 98/70/CE del Parlamento Europeo y del Consejo de 13 de octubre de 1998 relativa a la calidad de la gasolina y el gasóleo y por la que se modifica la Directiva 93/12/CEE del Consejo (DO L 350 de 28.12.1998, p. 58).

Ver Texto
(50)

Reglamento (CE) n.º 401/2009 del Parlamento Europeo y del Consejo, de 23 de abril de 2009, relativo a la Agencia Europea de Medio Ambiente y a la Red Europea de Información y de Observación sobre el Medio Ambiente (DO L 126 de 21.5.2009, p. 13).

Ver Texto
(51)

Reglamento (UE) 2021/1119 del Parlamento Europeo y del Consejo, de 30 de junio de 2021, por el que se establece el marco para lograr la neutralidad climática y se modifican los Reglamentos (CE) n.º 401/2009 y (UE) 2018/1999 (“Legislación europea sobre el clima») (DO L 243 de 9.7.2021, p. 1).

Ver Texto
(52)

A fin de poder alcanzar los objetivos nacionales establecidos en el presente anexo, se subraya que las directrices sobre ayudas estatales en favor del medio ambiente reconocen la necesidad persistente de unos mecanismos nacionales de respaldo de la promoción de la energía procedente de fuentes renovables.

Ver Texto
(55)

-Los valores por defecto de los procesos que utilizan instalaciones de cogeneración solo son válidos si todo el calor del proceso lo suministra la cogeneración.

Ver Texto
(56)

-Se aplica únicamente a los biocarburantes producidos a partir de subproductos animales clasificados como material de las categorías 1 y 2 de conformidad con el Reglamento (CE) n.º 1069/2009 del Parlamento Europeo y del Consejo (1), para los que no se consideran las emisiones relacionadas con la higienización como parte del procesamiento.

Ver Texto
(57)

El calor o el calor residual se utilizan para generar refrigeración (aire o agua enfriados) mediante enfriadores de absorción. Por tanto, procede calcular únicamente las emisiones asociadas al calor producido por MJ de calor, con independencia de que el uso final del calor sea la calefacción efectiva o la refrigeración mediante enfriadores de absorción.

Ver Texto
(58)

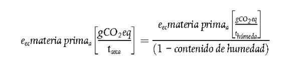
La fórmula para el cálculo de las emisiones de gases de efecto invernadero procedentes de la extracción o del cultivo de materias primas eec describe casos en los que las materias primas se transforman en biocarburantes en un único paso. En el caso de cadenas de suministro más complejas es necesario aplicar ajustes para calcular las emisiones de gases de efecto invernadero procedentes de la extracción o del cultivo de materias primas eec para productos intermedios.

Ver Texto
(59)

Dichas pruebas pueden consistir en mediciones del carbono en suelo, compuestas, por ejemplo, de una primera medición con anterioridad al cultivo y otras posteriores a intervalos regulares de varios años. En tal caso, antes de que se disponga de la segunda medición, el aumento del carbono en suelo se estimaría atendiendo a experimentos representativos o a modelos de suelo. A partir de la segunda medición, las mediciones constituirían la base para determinar la existencia de un aumento del carbono en suelo y su magnitud.»

Ver Texto
(60)

Al dividir el peso molecular del CO2 (44,010 g/mol) por el peso atómico del carbono (12,011 g/mol) se obtiene un cociente de 3,664.

Ver Texto
(61)

Tierras de cultivo definidas por el Grupo Intergubernamental de Expertos sobre el Cambio Climático.

Ver Texto
(62)

Los cultivos vivaces se definen como cultivos multianuales cuyo tallo, por lo general, no se recoge anualmente, como el monte bajo de rotación corta y la palmera de aceite.

Ver Texto
(63)

Decisión 2010/335/UE de la Comisión, de 10 de junio de 2010, sobre directrices para calcular las reservas de carbono en suelo a efectos del anexo V de la Directiva 2009/28/CE (DO L 151 de 17.6.2010, p. 19).

Ver Texto
(64)

Reglamento (UE) 2018/841 del Parlamento Europeo y del Consejo, de 30 de mayo de 2018, sobre la inclusión de las emisiones y absorciones de gases de efecto invernadero resultantes del uso de la tierra, el cambio de uso de la tierra y la silvicultura en el marco de actuación en materia de clima y energía hasta 2030, y por el que se modifican el Reglamento (UE) n.º 525/2013 y la Decisión n.º 529/2013/UE (DO L 156 de 19.6.2018, p. 1).

Ver Texto
(65)

Directiva 2009/31/CE del Parlamento Europeo y del Consejo, de 23 de abril de 2009, relativa al almacenamiento geológico de dióxido de carbono y por la que se modifican la Directiva 85/337/CEE del Consejo, las Directivas 2000/60/CE, 2001/80/CE, 2004/35/CE, 2006/12/CE, 2008/1/CE y el Reglamento (CE) n.º 1013/2006 del Parlamento Europeo y del Consejo (DO L 140 de 5.6.2009, p. 114).

Ver Texto
(66)

Se aplica únicamente a los biocarburantes producidos por los subproductos animales clasificados como material de las categorías 1 y 2 de conformidad con el Reglamento (CE) n.o 1069/2009 cuyas emisiones relacionadas con la higienización como parte de los residuos no se toman en consideración. 21.12.2018 L 328/156 Diario Oficial de la Unión Europea ES

Ver Texto
(67)

Nota: se aplica únicamente a los biocarburantes producidos por los subproductos animales clasificados como material de las categorías 1 y 2 de conformidad con el Reglamento (CE) n.o 1069/2009 cuyas emisiones relacionadas con la higienización como parte de los residuos no se toman en consideración.

Ver Texto
(68)

Los valores por defecto de los procesos que utilizan instalaciones de cogeneración solo son válidos si todo el calor del proceso lo suministra la cogeneración.

Ver Texto
(69)

Nota: se aplica únicamente a los biocarburantes producidos a partir de los subproductos animales clasificados como material de las categorías 1 y 2 de conformidad con el Reglamento (CE) n.o 1069/2009 cuyas emisiones relacionadas con la higienización como parte del procesamiento no se toman en consideración.

Ver Texto
(70)

Nota: se aplica únicamente a los biocarburantes producidos a partir de los subproductos animales clasificados como material de las categorías 1 y 2 de conformidad con el Reglamento (CE) n.o 1069/2009 cuyas emisiones relacionadas con la higienización como parte del procesamiento no se toman en consideración.

Ver Texto
(71)

Los valores por defecto de los procesos que utilizan instalaciones de cogeneración solo son válidos si todo el calor del proceso lo suministra la cogeneración.

Ver Texto
(72)

Nota: se aplica únicamente a los biocarburantes producidos a partir de los subproductos animales clasificados como material de las categorías 1 y 2 de conformidad con el Reglamento (CE) n.o 1069/2009 cuyas emisiones relacionadas con la higienización como parte del procesamiento no se toman en consideración.

Ver Texto
(73)

Los valores por defecto de los procesos que utilizan instalaciones de cogeneración solo son válidos si todo el calor del proceso lo suministra la cogeneración.

Ver Texto
(74)

Nota: se aplica únicamente a los biocarburantes producidos a partir de los subproductos animales clasificados como material de las categorías 1 y 2 de conformidad con el Reglamento (CE) n.o 1069/2009 cuyas emisiones relacionadas con la higienización como parte del procesamiento no se toman en consideración.

Ver Texto
(75)

Los valores por defecto de los procesos que utilizan instalaciones de cogeneración solo son válidos si todo el calor de proceso lo suministra la cogeneración.

Ver Texto
(76)

Nota: se aplica únicamente a los biocarburantes producidos a partir de los subproductos animales clasificados como material de las categorías 1 y 2 de conformidad con el Reglamento (CE) n.o 1069/2009 cuyas emisiones relacionadas con la higienización como parte del procesamiento no se toman en consideración.

Ver Texto
(77)

El caso 1 engloba los procesos en los que para obtener el calor necesario para la producción de pellets de madera se utiliza una caldera de gas natural. La electricidad para la instalación de producción procede de la red. El caso 2a engloba los procesos en los que para obtener el calor necesario para la producción se utiliza una caldera de astillas de madera alimentada con astillas desecadas. La electricidad para la instalación de producción procede de la red. El caso 3a engloba los procesos en los que para generar tanto el calor como la electricidad de la instalación de producción de pellets se utiliza una caldera de cogeneración alimentada con astillas desecadas.

Ver Texto
(78)

Este grupo de materiales engloba los desechos agrícolas de baja densidad aparente y engloba materiales como las balas de paja, cáscaras de avena, cascarillas de arroz y balas de bagazo de caña de azúcar (la lista no es exhaustiva).

Ver Texto
(79)

En el grupo de desechos agrícolas de mayor densidad aparente están materiales tales como los restos de mazorcas de maíz, cáscaras de frutos secos, cáscaras de soja, cáscaras de palmiste (la lista no es exhaustiva).

Ver Texto
(80)

En los valores relativos a la producción de biogás a partir de estiércol se incluye la emisión negativa derivada de la reducción de emisiones lograda gracias a la gestión del estiércol bruto. El valor de esca considerado es igual a – 45 g CO2eq/MJ para estiércol utilizado en digestión anaeróbica. El almacenamiento de digestato en abierto conlleva emisiones adicionales de CH4 y N2O. La magnitud de esas emisiones varía en función de las condiciones ambientales, los tipos de sustrato y la eficiencia de la digestión. El almacenamiento en cerrado significa que el digestato resultante del proceso de digestión se almacena en un tanque hermético y se da por supuesto que el biogás adicional liberado durante el almacenamiento se recupera para la producción adicional de electricidad o biometano. En ese proceso no se incluyen emisiones de gases de efecto invernadero.

Ver Texto
(81)

Por «maíz, toda la planta» hay que entender el maíz cosechado para forraje y ensilado para su conservación.

Ver Texto
(82)

El caso 1 alude a procesos en los que la electricidad y el calor necesarios para el proceso se obtienen del propio motor de cogeneración.

Ver Texto
(83)

El caso 2 alude a procesos en los que la electricidad necesaria para el proceso se obtiene de la red, y el calor del propio motor de cogeneración. En algunos Estados miembros los operadores no pueden optar a subvenciones para la producción bruta, por lo que el caso 1 será el más habitual.

Ver Texto
(84)

El caso 3 alude a procesos en los que la electricidad necesaria para el proceso se obtiene de la red, y el calor de una caldera de biogás. Este caso es el de algunas instalaciones en las que el motor de cogeneración no se encuentra in situ y el biogás se vende (sin enriquecerlo para convertirlo en biometano).

(*5) La reducción de emisiones de gases de efecto invernadero correspondiente al biometano alude únicamente al biometano comprimido en relación con el combustible fósil de referencia para el transporte de 94 g CO2eq/MJ.

(*6) Esta categoría comprende las siguientes categorías de tecnologías para el enriquecimiento del biogás a biometano: adsorción por cambio de presión (PSA), depuración por agua a presión (PWS), membranas, técnicas criogénicas y depuración física orgánica (OPS). Incluye una emisión de 0,03 MJ CH4/MJ biometano para la emisión de metano en los gases desprendidos.

Ver Texto
(85)

La reducción de emisiones de gases de efecto invernadero correspondiente al biometano alude únicamente al biometano comprimido en relación con el combustible fósil de referencia para el transporte de 94 g CO2eq/MJ.

Ver Texto
(86)

Esta categoría comprende las siguientes categorías de tecnologías para el enriquecimiento del biogás a biometano: adsorción por cambio de presión (PSA), depuración por agua a presión (PWS), membranas, técnicas criogénicas y depuración física orgánica (OPS). Incluye una emisión de 0,03 MJ CH4/MJ biometano para la emisión de metano en los gases desprendidos.

Ver Texto
(87)

Esta categoría comprende las siguientes categorías de tecnologías para el enriquecimiento del biogás a biometano: depuración por agua a presión (PWS) cuando el agua es reciclada, adsorción por cambio de presión (PSA), depuración química, depuración física orgánica (OPS), membranas y enriquecimiento criogénico. En esta categoría no se consideran las emisiones de metano (el metano de los gases desprendidos, caso de haberlo, es objeto de combustión).

Ver Texto
(88)

Esta categoría comprende las siguientes categorías de tecnologías para el enriquecimiento del biogás a biometano: adsorción por cambio de presión (PSA), depuración por agua a presión (PWS), membranas, técnicas criogénicas y depuración física orgánica (OPS). Incluye una emisión de 0,03 MJ CH4/MJ biometano para la emisión de metano en los gases desprendidos. Esta categoría comprende las siguientes categorías de tecnologías para el enriquecimiento del biogás a biometano: depuración por agua a presión (PWS) cuando el agua es reciclada, adsorción por cambio de presión (PSA), depuración química, depuración física orgánica (OPS), membranas y enriquecimiento criogénico. En esta categoría no se consideran las emisiones de metano (el metano de los gases desprendidos, caso de haberlo, es objeto de combustión).

Ver Texto
(89)

En el caso del estiércol animal usado como sustrato, se añade una prima de 45 g CO2eq/MJ para estiércol (-54 kg CO2eq/t de materia fresca) en concepto de mejora de la gestión agrícola y del estiércol.

Ver Texto
(90)

Para calcular los valores típicos y los valores por defecto se usarán los siguientes valores de Pn:

P(Maíz): 4,16 [MJbiogás/kgmaíz húmedo con 65 % de humedad]

P(Estiércol): 0,50 [MJbiogás/kgmaíz húmedo con 90 % de humedad]

P(Biorresiduos) 3,41 [MJbiogás/kgbiorresiduos húmedos con 76 % de humedad]

Ver Texto
(91)

Se usarán los siguientes valores de humedad estándar del sustrato SMn:

SM(Maíz): 0,65 [kg agua/kg materia fresca]

SM(Estiércol): 0,90 [kg agua/kg materia fresca]

SM(Biorresiduos): 0,76 [kg agua/kg materia fresca]

Ver Texto
(92)

En el caso de esca se aplicará una prima de 45 g CO2eq/MJ de estiércol por mejoras en la gestión agrícola y del estiércol, cuando el estiércol animal se use como sustrato para la producción de biogás y biometano.

Ver Texto
(93)

El calor o el calor residual se utilizan para generar refrigeración (aire o agua enfriados) mediante enfriadores de absorción. Por tanto, procede calcular únicamente las emisiones asociadas al calor producido por MJ de calor, con independencia de que el uso final del calor sea la calefacción efectiva o la refrigeración mediante enfriadores de absorción.

Ver Texto
(94)

La fórmula para el cálculo de las emisiones de gases de efecto invernadero procedentes de la extracción o del cultivo de materias primas eec describe casos en los que las materias primas se transforman en biocarburantes en un único paso. En el caso de cadenas de suministro más complejas es necesario aplicar ajustes para calcular las emisiones de gases de efecto invernadero procedentes de la extracción o del cultivo de materias primas eec para productos intermedios.

Ver Texto
(95)

Dichas pruebas pueden consistir en mediciones del carbono en suelo, compuestas, por ejemplo, de una primera medición con anterioridad al cultivo y otras posteriores a intervalos regulares de varios años. En tal caso, antes de que se disponga de la segunda medición, el aumento del carbono en suelo se calcularía atendiendo a experimentos representativos o a modelos de suelo. A partir de la segunda medición, las mediciones constituirían la base para determinar la existencia de un aumento del carbono en suelo y de su magnitud.

Ver Texto
(96)

Al dividir el peso molecular del CO2 (44,010 g/mol) por el peso atómico del carbono (12,011 g/mol) se obtiene un cociente de 3,664.

Ver Texto
(97)

Tierras de cultivo definidas por el Grupo Intergubernamental de Expertos sobre el Cambio Climático.

Ver Texto
(98)

Los cultivos vivaces se definen como cultivos multianuales cuyo tallo, por lo general, no se recoge anualmente, como el monte bajo de rotación corta y la palmera de aceite.

Ver Texto
(99)

Decisión 2010/335/UE de la Comisión, de 10 de junio de 2010, sobre directrices para calcular las reservas de carbono en suelo a efectos del anexo V de la Directiva 2009/28/CE (DO L 151 de 17.6.2010, p. 19).

Ver Texto
(100)

En los valores relativos a la producción de biogás a partir de estiércol se incluye la emisión negativa derivada de la reducción de emisiones lograda gracias a la gestión del estiércol bruto. El valor de esca considerado es igual a – 45 g CO2eq/MJ para estiércol utilizado en digestión anaeróbica.

Ver Texto
(101)

Por «maíz, toda la planta» hay que entender el maíz cosechado para forraje y ensilado para su conservación.

Ver Texto
(102)

El transporte de las materias primas de la agricultura a la instalación de transformación está, de acuerdo con la metodología recogida en el Informe de la Comisión, de 25 de febrero de 2010, relativo a los requisitos de sostenibilidad para el uso de fuentes de biomasa sólida y gaseosa en los sectores de la electricidad, la calefacción y la refrigeración, incluido en el valor «cultivo». El valor para el transporte del maíz ensilado corresponde a 0,4 g CO2eq/MJ (biogás).

Ver Texto
(103)

Este grupo de materiales engloba los desechos agrícolas de baja densidad aparente engloba materiales como las balas de paja, cáscaras de avena, cascarillas de arroz y balas de bagazo de caña de azúcar (la lista no es exhaustiva).

Ver Texto
(104)

En el grupo de desechos agrícolas de mayor densidad aparente están materiales tales como los restos de mazorcas de maíz, cáscaras de frutos secos, cáscaras de soja, cáscaras de palmiste (la lista no es exhaustiva).

Ver Texto
(105)

El almacenamiento en abierto del digestato comporta emisiones adicionales de metano que varían según la climatología, el sustrato y la eficiencia de la digestión. En estos cálculos, los valores se consideran equivalentes a 0,05 MJ CH4 / MJ biogás para el estiércol, 0,035 MJ CH4 / MJ biogás para el maíz y 0,01 MJ CH4 / MJ biogás para los biorresiduos.

Ver Texto
(106)

El almacenamiento en cerrado significa que el digestato resultante del proceso de digestión se almacena en un tanque hermético y se da por supuesto que el biogás adicional liberado durante el almacenamiento se recupera para la producción adicional de electricidad o biometano.

Ver Texto
(107)

Esta categoría comprende las siguientes categorías de tecnologías para el enriquecimiento del biogás a biometano: adsorción por cambio de presión (PSA), depuración por agua a presión (PWS), membranas, técnicas criogénicas y depuración física orgánica (OPS). Incluye una emisión de 0,03 MJ CH4 / MJ biometano para la emisión de metano en los gases desprendidos.

Ver Texto
(108)

Esta categoría comprende las siguientes categorías de tecnologías para el enriquecimiento del biogás a biometano: depuración por agua a presión (PWS) cuando el agua es reciclada, adsorción por cambio de presión (PSA), depuración química, depuración física orgánica (OPS), membranas y enriquecimiento criogénico. En esta categoría no se consideran las emisiones de metano (el metano de los gases desprendidos, caso de haberlo, es objeto de combustión).

Ver Texto
(123)

Los valores medios aquí comunicados representan una media ponderada de los valores de materias primas modelados individualmente. La magnitud de los valores que se incluyen en el anexo es sensible a la serie de hipótesis de trabajo (como el tratamiento de los coproductos, la evolución de las cosechas, las reservas de carbono y el desplazamiento de otras materias) utilizadas en los modelos económicos empleados para su cálculo. Si bien no es posible calibrar plenamente el grado de incertidumbre asociado a dichos cálculos, se realizó un análisis de sensibilidad de dichos resultados basado en una variación aleatoria de los parámetros clave, denominado «análisis Monte Carlo

Ver Texto
(124)

Los valores medios aquí incluidos representan una media ponderada de los valores de materias primas modelados individualmente.

Ver Texto
(125)

La serie aquí incluida refleja el 90 % de los resultados utilizando los valores de los percentiles cinco y noventa y cinco resultantes del análisis. El percentil cinco sugiere un valor por debajo del cual se realizaron el 5 % de las observaciones (a saber, el 5 % de los datos totales usados mostraron resultados inferiores a 8, 4 y 33 g CO2eq/MJ). El percentil noventa y cinco sugiere un valor por debajo del cual se realizaron el 95 % de las observaciones (a saber, el 5 % de los datos totales usados mostraron resultados superiores a 16, 17 y 66 g CO2eq/MJ).

Ver Texto
(126)

Los cultivos vivaces se definen como cultivos multianuales cuyo tallo, por lo general, no se recoge anualmente, como el monte bajo de rotación corta y la palmera de aceite.

Ver Texto